Links
  Industrial research
  Survey 1
2     3
4

  Title Alloys
  X6
  Creep and relaxation
  Test devices
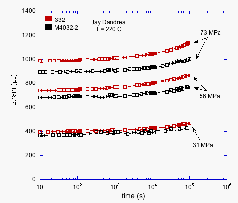
  Al-Si alloy
  Al-Si, 4032 alloy
  Engine cyclic
  H-D comparison
  Conclusions
  isthmus
  campus
  Links