moved site resource Links, MSE541 class,   Rod Lakes
For 2022 we use the book Composites and Metamaterials. Book outline
Some resources for on campus access or VPN evaporated as of July 2021. A temporary work-around was provided for the fall 2022 class. More instructional resources, including physical ones, have evaporated since then.

1. Introduction: Structure
Idealized structures
Observed structures
Fibrous laminate
Ferroelectric material

2. Structure, properties, bounds
Voigt, Reuss structures
Extremal structures
Hierarchical laminates of rank 2, 3
Moduli, Voigt, Reuss
Hashin-Shtrikman formulae
Bounds plot
Properties, E/ρn, bending
ν range
PRL
Landau
Milton map
VO2-Sn
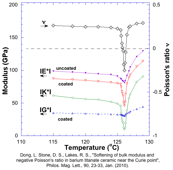
BaTiO3 2; quartz
>diamond
Heat capacity proof,
stars

3. Symmetry and anisotropy
  Crystal classes
  C 0,   tr,   mo,   or,   cu,   is
  Elasticity, orthotropic
Interpret elastic constants: C1111, ν
Eddington Index notation,  
Quasicrystals after Shechtman
  Penrose tiling, tiling synthesis

4. Coupled fields
Coupled fields
Coupled fields, after Nye
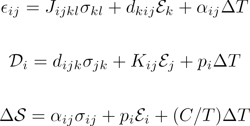
Coupled fields equation
Piezoelectric matrices tr, cu
  Piezoelectricity: materials and applications; Introduction
quartz, PZT, Li niobate
Ferroelectric material
BaTiO3-KNbO3 phase diagram
  PZT8 properties
α bounds equations
Positive α map
Negative α map
High α lattice

5. Particle, fiber and platelet inclusions
Extremal structures
Coated spheres
Particles, dental composite
Particles, asphalt
Particle analysis-stiffness
Particle composite analysis
Particles, impact polystyrene
  Particles, carbon in tires  in air
  Particles, self healing polymers
Fibrous laminate
Fibrous hierarchy
Platelets in aluminum
Piezoelectric 1, 2, 3

6. Cellular materials and lattices
Structural honeycomb
Stretch honeycomb
chiral honeycomb
Polymer foam
Copper foam
Schoen patent minimal surface tubular US3663347A
Schoen patent minimal surface tubule core US3663346A
Plate lattice cell Adv. Mat., 1803334 (2018)
Polymer lattice
Polymer lattice detail
Polymer lattice cell
octet truss cell
Poisson
ν range
observed
elements
ν < 0
Poisson article
NYT, Chi
RUS InSn 1
hi α 1, 2, 3, 4, 5, 6, 7, 8, 9
Metal lattice acoustically similar to water after Norris.
Resonator lattice for negative refraction after Shelby, Smith, Schultz
Hall effect after Briane, Milton, chain structure
Structural hierarchy
Eiffel tower
honeycomb
foam
hierarchical materials
Hierarchical Lattices: octahedral
tubular
Hierarchical laminate
Menger sponge fractal, video
zil

7. Natural materials
Bone hierarchical structure
  Human compact bone micrograph.
  Bovine compact bone micrographs cross section , aligned longitudinal , circumferential , radial .
Bone properties links
Tendon hierarchical structure
Tendon, ligament properties links
Tissue properties links

8. Size of heterogeneity
Stress concentration scf1, scf2
Bone size effect
Strain distribution in bone
Corner element: why spill over
Corner element in continuum
Corner element in rubber
Corner element in foam
Corner notch PMMA
Corner notch foam
Warp by holography
Warp by theory
Cosserat elasticity, size effects
Open cell strong size effect
Neg. Poi. strong size effect
Lattice size effects, non-classical
Particulate composite is classical
Chiral 3D lattice
Chiral size effects
Chiral torsion
Chiral gyroid
Chiral squeeze twist PRL
Toughness maps 0

9. Viscoelastic composites
Viscoelasticity notes
Stiffness vs. damping, known materials
Stiffness vs. damping for microstructures
Stiffness vs. damping, inclusion shape
Composite overview
Guidelines for reports
graph guide.

Prior quizzes 1, 2 , 3

Other classes